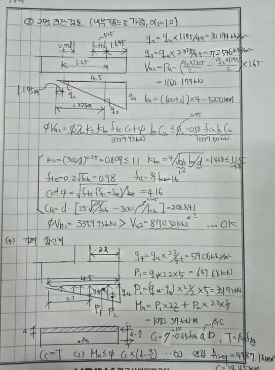
[구조] 그림과 같은 독립기초를 설계하시오.
2025. 12. 1. 10:12ㆍ건축구조기술사
728x90
반응형




728x90
반응형
'건축구조기술사' 카테고리의 다른 글
| [구조] 강재단면에서 콤팩트단면(조밀), 비콤팩트단면(비조밀), 세장판요소단면에 대하여 정의하고 설명하시오. (0) | 2025.12.02 |
|---|---|
| [구조] 매입형 합성기둥에 고정하중과 활하중의 순수 압축력이 작용할때 페데스탈 위에 위치한 합성기둥의 베이스플레이트를 설계하시오. (0) | 2025.12.01 |
| [구조] 문제.3 SFD와 BMD 산정 (0) | 2025.12.01 |
| [구조] 건축구조기준에 의거한 콘크리트 구조의 재하실험의 목적, 세부평가 항목, 책임 기술자의 역할 (0) | 2025.12.01 |
| [구조] 지점 B가 15mm 침하했을 때 처짐각법을 사용하여 구조물을 해석하시오. (0) | 2025.11.28 |